Tradução José Filardo
O quadrado duplo
No templo de Salomão, é Hekal ou Sanctum que representava um quadrado duplo, ou seja, um retângulo de proporção um por dois. O Hekal era o lugar da adoração ou seja, o lugar do encontro, da comunhão do homem com Deus. E, de fato, o um, a figura de Deus se mistura ali com o cinco, a figura do homem através da mediação da proporção áurea.
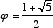
Assim, vamos traçar dois quadrados superpostos para obter o quadrado duplo: eles são, ambos, Beta ou Beth, que significa casa, templo ou matriz no sistema simbólico dos alfabetos da Antiguidade. Agora vamos traçar o círculo central com diâmetro correspondente ao lado comum aos dois quadrados: Deus, o um, é o ponto totalmente central e círculo ao mesmo tempo. Deus em seu templo é assim ilustrado pelo círculo centrado no quadrado duplo.
Vamos, em seguida, apontar o ponto fixo do compasso para a parte inferior da diagonal deste quadrado duplo, cujo comprimento é √5 , e vamos traçar o maior dos dois arcos tangentes de círculo ao círculo central. É fácil desmontar que este arco corta os lados laterais do quadrado duplo, respectivamente, em φ e √φ ; φ sendo a letra grega que indica a seção áurea em homenagem aos escultor grego Fídias que decorou o Partenon em Atenas.
multiplica-se por si mesmo quando se adiciona um a ela e é revertido quando um é subtraído dela. É o número de harmonia e é encontrado nas taxas de crescimento dos seres vivos, na organização dos ramos em torno de um tronco, na distribuição das folhas em um galho. O encontro de um e cinco, assim, dá à luz a harmonia no templo.
E, de fato, tomando a figura anterior como plano ideal do nossa loja, não é harmonioso considerar que a distância φ contada a partir da porta do templo delimita o primeiro degrau do Oriente, onde se coloca o o Venerável Mestre, o Secretário e o Orador e considerar que o espaço compreendido entre φ e √φ é onde está o altar dos juramentos, o Hospitaleiro, o Experto, o Tesoureiro e o Mestre de Cerimônias?
Mas o quadrado duplo também é encontrado nas catedrais que os irmãos maçons deram aos seus companheiros eclesiásticos. Cânones das grandes liturgias matemáticas, eles souberam traduzir na pedra as regras mais puras.
Evocar-se-á aqui as três mesas místicas que estão associados à personagem coroada da catedral e registro da trindade no piso. Diz-se que todos os três de uma mesma superfície carregavam o Santo Graal:
A mesa redonda representa o Pai. Ela está localizada na nave e, por vezes, materializada pelo labirinto, como em Chartres ou Amiens. Ela é a parte visível para o leigo.
A mesa quadrada representa o filho. Ela está localizada no centro da cruz formada pelo coro, a nave e o transepto. Ela marca a separação entre o leigo e coroado.
A mesa retangular, um quadrado duplo representa o Espírito Santo. Ela está situada no coro que é o espaço reservado ao bispo, aos padres e ao clero. Este é o espaço sagrado por excelência e não foi por acaso que os mestres maçons se inspiraram na escolha do quadrado duplo para seu partido arquitetônico.
Nós já o evocamos: o círculo, a unidade, representa Deus ou o Grande Arquiteto e o quadrado representa o princípio da encarnação plena e bem sucedida, o conhecimento secreto da matéria. Em seguida, vem o templo, ou seja, o quadrado duplo que por sobreposição com as duas outras mesas devem nos permitir resolver a quadratura do círculo, expressando, assim, a harmonia e ascensão para o conhecimento. De fato, através do pentagrama, o homem se enquadra em quadratura e participa na proporção áurea da qual ele recebe todas as correntes benéficas.



OBRIGADO , MUITO INTERESSANTE !!!!!
CurtirCurtir